Чертежи и 3D-модели транспортных средств — это наглядные материалы, отражающие конструкцию и принцип работы различных видов транспорта и его компонентов. Они служат неотъемлемой частью инженерного образования, используются в учебных проектах, курсовых и дипломных работах, а также в практических занятиях по техническому черчению, конструированию и 3D-моделированию. Что вы найдёте в этом разделе: • Автотранспорт — от легковых автомобилей до грузовиков и военной техники; • Мотоциклы и мотороллеры —...
Чертежи и 3D-модели транспортных средств — это наглядные материалы, отражающие конструкцию и принцип работы различных видов транспорта и его компонентов. Они служат неотъемлемой частью инженерного образования, используются в учебных проектах, курсовых и дипломных работах, а также в практических занятиях по техническому черчению, конструированию и 3D-моделированию.
Что вы найдёте в этом разделе:
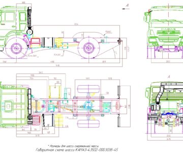
• Автотранспорт — от легковых автомобилей до грузовиков и военной техники;
• Мотоциклы и мотороллеры — модели современных и классических конструкций;
• Воздушный транспорт — самолёты, вертолёты, БПЛА, включая отдельные узлы;
• Железнодорожная техника — локомотивы, вагоны, тележки, сцепные механизмы;
• Морской транспорт — катера, корабли, подводные лодки;
• Сельскохозяйственная и спецтехника — тракторы, комбайны, погрузчики;
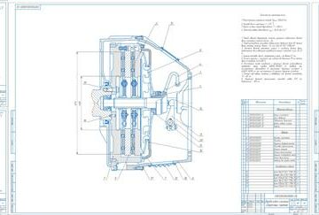
• Компоненты и узлы — двигатели, подвеска, рулевое управление, трансмиссия, кузовные элементы и пр.
Каждая модель сопровождается кратким описанием, указанием формата файла и типом применения (учебное, презентационное, производственное или пригодное для 3D-печати).
• Форматы: DWG, STL, STEP, OBJ, FBX и другие;
• Уровень детализации: от базовых схем до сложных фотореалистичных моделей;
• Возможность использования в популярных программах: AutoCAD, SolidWorks, Fusion 360, Blender, Tinkercad и пр.
• Поддержка 3D-печати: большинство моделей пригодны для изготовления физических макетов, если Вы умете работать с ПО и сможете их подготовить.
Изучение транспорта с помощью чертежей началось задолго до появления компьютеров — ещё в эпоху инженерных прорывов XVIII–XIX веков. Сегодня традиционные методы ручного черчения дополняются и заменяются цифровыми технологиями: CAD-программами, 3D-моделированием и виртуальными симуляциями. Это открывает новые возможности для преподавания инженерных дисциплин и самостоятельного изучения техники.
Для кого предназначен раздел:
• Студентов технических и инженерных специальностей;
• Преподавателей и методистов;
• Курсов и онлайн-школ по черчению, инженерной графике, CAD и 3D;
• Разработчиков учебных материалов;
• Хоббистов и моделистов, интересующихся транспортной техникой.