Перейти к содержимому
Войти

Дом из оцилиндрованного бревна 54м2

0
2
85
0
0
400

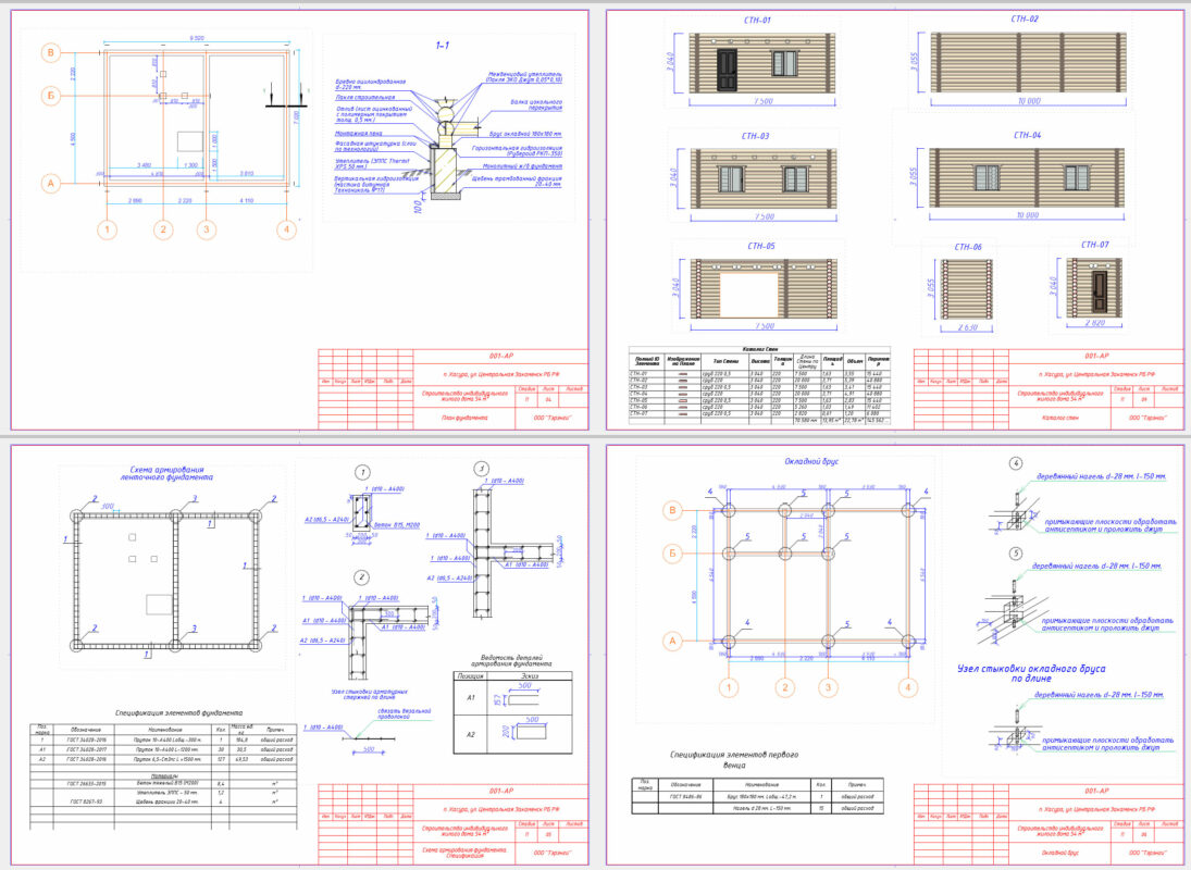
Проект одноэтажного дома 54 кв.м из оцилиндрованного бревна с расстановкой мебели с системой электрооборудования, отопления, вентиляции, водоснабжения. Смотрите слои в модели, все разделено.

Объемно-планировочное решение
1. Объемно-планировочное решение здания определяется технологическими, конструктивными, противопожарными и эстетическими требованиями.
2. В здании размещены помещения согласно Задания на проектирование.
3. Здание в плане размером по осям 9,3 х 9 м.
4. Площадь застройки - 83,7 м2
5. Здание двухэтажное с высотой этажа 2,7 м.
6. Здание отапливаемое. Строительный объем: 669,6 м3

Общие данные
1. Чертежи марки АР разработаны для строительства в на основании утвержденных заказчиком объемно-планировочных решений и задания на проектирование.
2. Основные характеристики здания: - уровень ответственности - II; - степень огнестойкости - IV (СНиП 2.01.02-85 прил.2);
3. Здание отапливаемое. Параметры внутреннего воздуха назначены согласно ГОСТ 30494-96 Здания жилые и общественные. - средняя температура воздуха: 20оС; - влажность 45%; - скорость движения воздуха 0,15м/с.
4. Проект разработан для II климатического района со следующими нормативными характеристиками согласно СНиП 2.01.07-85* Нагрузки и воздействия, СНиП 23-01-99 Строительная климатология: - расчетная снеговая нагрузка - 180 кгс/м2 - ветровая нагрузка - 23 кг/м2 - температура наружного воздуха наиболее холодной пятидневки - 25ОС - нормативная глубина промерзания суглинистых грунтов 1,80 м - зона влажности - нормальная, относительная влажность 85% - рельеф спокойный, сейсмичность отсутствует.
5. За относительную отметку 0,000 принята нижняя отметка сруба здания.
6. Проект разработан для производства работ в летнее время. В зимний период работы должны производиться согласно указаниям СНиП 2-22-81.
7. Устройство полов рекомендуется производить после завершения всех монтажных работ по прокладке инжнерных коммуникаций.
8. Древесина должна быть не ниже 2-го сорта с расчетными характеристиками по СНиП II-25-80 "Деревянные конструкции".
9. При проектировании усадка не учитывалась. Вертикальные отметки и размеры даны на период строительства.


Сообщить о проблеме
Автор
user-avatar user-7635773
Дата
03.12.2025
Язык
Русский
Состав
АР, ЭО, ВК, ОВ
Софт
ArchiCAD 24
Отзывов пока нет
Задать вопрос
Содержимое архива
  • icon-pln2 ПРОЕКТ 54 вар.1.pln
Чтобы скачать чертеж, 3D модель или проект, Вы должны зарегистрироваться и принять участие в жизни сайта. Посмотрите, как тут скачивать файлы
Отзывов пока нет
Чтобы оставить отзыв, необходимо войти
Войти с помощью:

Используя функцию входа через сторонние сервисы, Вы соглашаетесь на обработку персональных данных в соответствии с Политикой конфиденциальности