Перейти к содержимому
Войти

Проект электрика 5 этажного дома

0
0
17
0
0
200

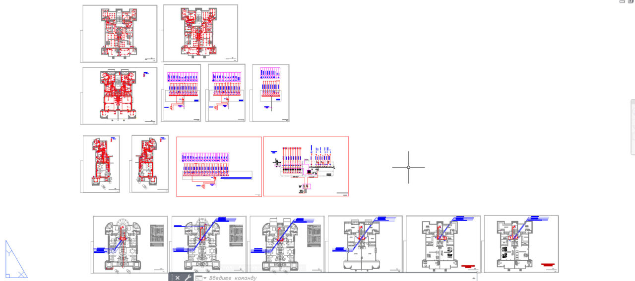
Проект электроснабжения 5-ти этажного дома , по этажные планы, проект выполнен на сербском языке

Содержание
ТЕХНИЧЕСКАЯ ДОКУМЕНТАЦИЯ . 3
1 ЗАДАЧА ПРОЕКТА 3
2 ТЕХНИЧЕСКОЕ ОПИСАНИЕ ... 5
2.1 Перечень применяемых норм и правил .. 6
Законы и нормативные акты: ... 6
Технические условия ... 7
2.2 Классификация внешних условий 14
3 ПРИЛОЖЕНИЕ ПО ОХРАНЕ ТРУДА И ПРОТИВОПОЖАРНОЙ ЗАЩИТЕ ... 15
3.1 Опасности и вред, которые могут возникнуть при использовании электроустановок .. 16
3.2 Предполагаемые меры по устранению опасностей и вреда при использовании электроустановок .. 16
3.3 Заключение . 17
4 ТЕХНИЧЕСКИЙ РАСЧЕТ 18
4.1 Проверка силовых кабелей на тепловую нагрузку и падение напряжения . 18
4.2 Проверка эффективности защиты от перенапряжения косвенного контакта ... 21
Zs  Ia  U0 ... 21
U0 – номинальное напряжение относительно земли, . 21
Rt – омическое сопротивление фазной обмотки трансформатора на стороне низкого напряжения . 22
Xt – индуктивное сопротивление фазной обмотки трансформатора на стороне низкого напряжения. 22
РЕЗИСТОРЫ ТРАНСФОРМАТОРА 22
4.3 Проверка требований к защите от токов короткого замыкания... 25
4.4 Фотометрический расчет . Ошибка! Закладка не определена.
5 ОЦЕНКА И РАСЧЕТ ... 26
6 ГРАФИЧЕСКАЯ ДОКУМЕНТАЦИЯ 27

ТЕХНИЧЕСКАЯ ДОКУМЕНТАЦИЯ
1. ЗАДАНИЕ ПО ПРОЕКТУ
Для подготовки инвестиционно-технической документации:
Общая информация:
1. ИНВЕСТОР: «Технология спорта» d.o.o. Будва
2. НАИМЕНОВАНИЕ ОБЪЕКТА: ЖИЛОЙ КОМПЛЕКС ОБЪЕКТЫ «А», «В» и «С» Su2+Su1+P+2
Проект должен быть выполнен на основе задания по проекту, технических требований, градостроительных условий в соответствии с действующими нормами и стандартами, а также принятых концептуальных решений и оснований.

Технические данные:
Создание проектной документации в виде основного проекта электромонтажа токи:
ТЕХНИЧЕСКИЕ ДАННЫЕ:
Объем проекта: Проект включает следующие электромонтажные работы:
- монтаж энергоснабжения и распределения в здании
- монтаж общего внутреннего освещения
- монтаж охранного освещения
- монтаж розеток общего назначения
ВНУТРЕННИЕ ЭЛЕКТРОМОНТАЖНЫЕ РАБОТЫ
Электроснабжение
Обеспечение электроснабжения потребителей в здании
1. от городской распределительной сети
1. Обеспечение электропитания от распределительной сети в соответствии с техническими условиями распределения электроэнергии.
2. Прокладка внутренних распределительных кабелей должна осуществляться в соответствии с внутренним решением в соответствии с
на стене под штукатуркой.

Освещение


Сообщить о проблеме
Автор
user-avatar user-9019000
Дата
12.01.2026
Язык
Болгарский
Состав
Рабочий проект
Софт
AutoCAD 2023 Как открыть?
Отзывов пока нет
Задать вопрос
Содержимое архива
    • icon-dwg
      GROMOBRAN.dwg
    • icon-dwg
      JAKA STRUJA.dwg
    • icon-pdf
      predmer i predracun jaka 1.pdf
    • icon-pdf
      predmer i predracun jaka 2.pdf
    • icon-pdf
      predmer i predracun jaka 3 REKAP.pdf
    • icon-pdf
      Tekst-jaka struja.pdf
Чтобы скачать чертеж, 3D модель или проект, Вы должны зарегистрироваться и принять участие в жизни сайта. Посмотрите, как тут скачивать файлы
Отзывов пока нет
Чтобы оставить отзыв, необходимо войти
Войти с помощью:

Используя функцию входа через сторонние сервисы, Вы соглашаетесь на обработку персональных данных в соответствии с Политикой конфиденциальности