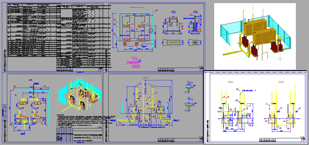
Газоснабжение котельной. ГГРП. Газопроводы Рр 0,3 МПа
Газорозподільні пункти - спеціальні приміщення, в яких розміщене устаткування і прилади, призначені для прийому, регулювання тиску і розподілу газу в газгольдери та міську газову мережу. Ці приміщення за своїм призначенням, а також в залежності від величини тиску газу на вході в них ділять на газорегуляторні станції (ГРС), газорегуляторні пункти (ГРП) і газорегуляторні установки (ГРУ).
- Главная -
- Чертежи -
- Инженерные системы -
- Газоснабжение -
- Чертежи газоснабжения котельной, ГГРП
Чертежи газоснабжения котельной, ГГРП
0
293
3538
3
0
50

Сообщить о проблеме
Автор
Дата
20.08.2013
Язык
Украинский
Состав
3D модель, План, разрезы, виды, спецификация
Софт
AutoCAD 2006
Как открыть?
Отзывов пока нет
Содержимое архива
Чтобы скачать чертеж, 3D модель или проект, Вы должны зарегистрироваться
и принять участие в жизни сайта. Посмотрите, как тут скачивать
файлы
Отзывов пока нет
Чтобы задать вопрос, необходимо войти
Войти с помощью:
Ссылка на логин через google
Ссылка на логин через vk
Ссылка на логин через yandex