Проект строительства жилого комплекса из 3-х жилых корпусов переменной этажности — 14 - 7 - 14 этажей с подземной автостоянкой и сопутствующими инфраструктурными объектами. Жилой комплекс состоит из 3-х жилых корпусов переменной этажности — 14 - 7 - 14 этажей, класса «бизнес-» и «бизнес», с нежилыми первыми этажами. В первых этажах предусматривается размещение объектов офисного назначения.
Жилые корпуса объединены общей подземной частью.
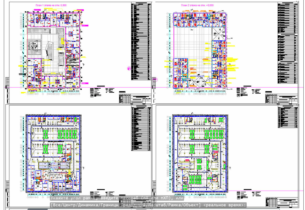
В подземной части размещается двухуровневая автостоянка и помещения инженерно-технического обеспечения комплекса. Вход на территорию комплекса запроектирован через фойе корпуса А с северной стороны от проектируемого проезда. Входы в жилую часть запроектированы со стороны внутреннего двора.
Транспортное обслуживание жилого комплекса осуществляется с проектируемых проездов проходящих вдоль северной и восточной стороны участка. Внутренний закрытыйдвор запроектирован по принципу «двор без машин» без возможности въезда личного легкового автотранспорта. Въезд на территорию спецавтотранспорта будет осуществляться только при необходимости и в экстренных случаях.
- Главная -
- Чертежи -
- Строительство -
- Проекты домов -
- Многоэтажные жилые дома -
- Проект строительства жилого комплекса переменной этажности 14 - 7 - 14 этажей с подземной автостоянкой и сопутствующими инфраструктурными объектами
Проект строительства жилого комплекса переменной этажности 14 - 7 - 14 этажей с подземной автостоянкой и сопутствующими инфраструктурными объектами
0
15
1135
7
2
200
Сообщить о проблеме
Автор
Дата
23.11.2017
Язык
Русский
Состав
Планы АР, Разрезы АР, Фасады АР, Пояснительная записка АР
Софт
AutoCAD 2013
Как открыть?
Отзывов пока нет
Содержимое архива
-
Планы АР.dwg
-
Пояснительная записка АР.doc
-
Разрезы МЭ.dwg
-
Фасады МЭ.dwg
Чтобы скачать чертеж, 3D модель или проект, Вы должны зарегистрироваться
и принять участие в жизни сайта. Посмотрите, как тут скачивать
файлы
Отзывов пока нет
Чтобы оставить отзыв, необходимо войти
Войти с помощью:
Используя функцию входа через сторонние сервисы, Вы соглашаетесь на обработку персональных данных в соответствии с Политикой конфиденциальности
Доброго дня! Какие планы входят? Первый этаж, типовой этаж, подземный паркинг? Входят ли планы плит перекрытия и фундамента?
Здравствуйте! Планы 13 листов
План автостоянки на отм.-8.250 М 1:200
План автостоянки на отм.- 4.650 М 1:200
План 1-го, этажа на отм. 0.000 М 1:200 2-10 этажей
План кровли. М 1:200
Фундамента нет.
добрый день, что по содержанию в пояснительной записке?
добрый , содержание пз нет, записка на 7 страницах, это не учебная работа.
Используя функцию входа через сторонние сервисы, Вы соглашаетесь на обработку персональных данных в соответствии с Политикой конфиденциальности